개발자 '쑥말고인절미'
[정보처리기사] 5과목 정보시스템 구축 관리 328 ~ 334 (PERT, CPM, 간트차트, 프로젝트 관리, ISO/IEC 12207, CMMI, SPICE) 본문
STUDY/정보처리기사
[정보처리기사] 5과목 정보시스템 구축 관리 328 ~ 334 (PERT, CPM, 간트차트, 프로젝트 관리, ISO/IEC 12207, CMMI, SPICE)
쑥말고인절미 2024. 2. 22. 01:30- 328 PERT
- 329 CPM
- 330 간트 차트
- 331 프로젝트 관리(Project Management)
- 332 ISO/IEC 12207
- 333 CMMI(Capability Maturity Model Integration)
- 334 SPICE(Software Process Improvement and Capability dEtermination)
- PERT(Program Evaluation and Review Technique, 프로그램 평가 및 검토 기술)
- 프로젝트에 필요한 전체 작업의 상호 관계를 표시하는 네트워크로 각 작업별로 낙관적인 경우, 가능성이 있는 경우, 비관적인 경우로 나누어 각 단계별로 종료 시기를 결정하는 방법
- 과거에 경험이 없어서 소요 기간 예측이 어려운 소프트웨어에서 사용
- 노드와 간선으로 구성되며 원 노드에는 작업을, 간선(화살표)에는 낙관치, 기대치, 비관치를 표시
- 결정 경로, 작업에 대한 경계 시간, 작업 간의 상호 관련성 등을 알 수 있다.
- 작업 예측치 = (비관치+4 × 기대치 + 낙관치) / 6
- 평방 편차 = ( (비관치 - 낙관치) / 6 ) ^ 2

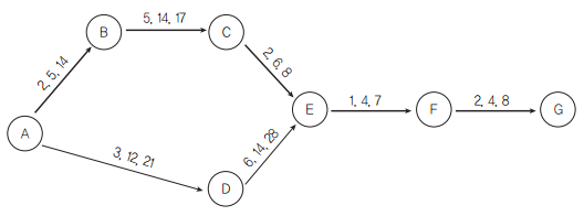
- CPM(Critical Path Method, 임계 경로 기법)
- 프로젝트 완성에 필요한 작업을 나열하고 작업에 필요한 소요 시간을 예측하는데 사용하는 기법
- CPM은 노드와 간선으로 구성된 네트워크로 노드는 작업을, 간선은 작업 사이의 전후 의존 관계를 나타낸다.
- 원형 노드는 각 작업을 의미하며 각 작업 이름과 소요기간을 표시하고, 박스 노드는 이정표를 의미하며 박스 노드 위에는 예상 완료 시간을 표시한다.
- 임계 경로는 최장 경로를 의미한다.

- 간트 차트
- 프로젝트의 각 작업들이 언제 시작하고 언제 종료되는지에 대한 작업 일정을 막대 도표를 이용하여 표시하는 프로젝트 일정표로, 시간선(Time-Line) 차트라고도 한다.
- 중간 목표 미달성 시 그 이유와 기간을 예측할 수 있게 한다.
- 사용자와의 문제점이나 예산의 초과 지출 등도 관리할 수 있게 한다.
- 자원 배치와 인원 계획에 유용하게 사용된다.
- 다양한 형태로 변경하여 사용할 수 있다.
- 작업 경로는 표시할 수 없으며, 계획의 변화에 대한 적응성이 약하다.
- 계획 수립 또는 수정 때 주관적 수치에 기울어지기 쉽다.
- 간트 차트는 이정표, 작업 일정, 작업 기간, 산출물로 구성되어 있다.
- 수평 막대의 길이는 각 작업(Task)의 기간을 나타낸다.
- 프로젝트 관리(Project Management)
- 주어진 기간 내에 최소의 비용으로 사용자를 만족시키는 개발하기 위한 전반적인 활동
- 관리 유형
- 1) 일정 관리
- 작업 순서, 작업 기간 산정, 일정 개발, 일정 통제
- 2) 비용 관리
- 비용 산정, 비용 예산 편성, 비용 통제
- 3) 인력 관리
- 프로젝트 팀 편성, 자원 산정, 프로젝트 조직 정의, 프로젝트 팀 개발, 자원 통제, 프로젝트 팀 관리
- 4) 위험 관리
- 위험 식별, 위험 평가, 위험 대처, 위험 통제
- 5) 품질 관리
- 품질 계획, 품질 보증 수행, 품질 통제 수행
- 1) 일정 관리
- ISO/IEC 12207
- ISO(International Organization for Standardization, 국제표준화기구)에서 만든 표준 소프트웨어 생명 주기 프로세스
- 소프트웨어의 개발, 운영, 유지보수 등을 체계적으로 관리하기 위한 소프트웨어 생명 주기 표준을 제공한다.
- 구분
- 1) 기본 생명 주기 프로세스
- 획득, 공급, 개발, 운영, 유지보수 프로세스
- 2) 지원 생명 주기 프로세스
- 품질 보증, 검증, 확인, 활동 검토, 감사, 문서화, 형상 관리, 문제 해결 프로세스
- 3) 조직 생명 주기 프로세스
- 관리, 기반 구조, 훈련, 개선 프로세스
- 1) 기본 생명 주기 프로세스
- CMMI(Capability Maturity Model Integration, 능력 성숙도 통합 모델)
- 소프트웨어 개발 조직의 업무 능력 및 조직의 성숙도를 평가하는 모델
- 미국 카네기멜론 대학교의 소프트웨어 공학연구소(SEI)에서 개발
- CMMI의 소프트웨어 프로세스 성숙도
- 1) 초기 단계(Initial)
- 정의된 프로세스 없음
- 작업자 능력에 따라 성공 여부 결정
- 2) 관리 단계(Managed)
- 규칙화된 프로세스
- 특정한 프로젝트 내의 프로세스 정의 및 수행
- 3) 정의(Defined)
- 표준화된 프로세스
- 조직의 표준 프로세스를 활용하여 업무 수행
- 4) 정량적 관리(Quantitatively Managed)
- 예측 가능한 프로세스
- 프로젝트를 정량적으로 관리 및 통제
- 5) 최적화(Optimizing)
- 지속적 개선 프로세스
- 프로세스 역량 향상을 위해 지속적인 프로세스 개선
- 1) 초기 단계(Initial)
- SPICE(Software Process Improvement and Capability dEtermination, 소프트웨어 처리 개선 및 능력 평가 기준)
- 정보 시스템 분야에서 소프트웨어의 품질 및 생산성 향상을 위해 소프트웨어 프로세스를 평가 및 개선하는 국제표준
- 공식 명칭은 ISO/IEC 15504 이다.
- SPICE는 5개의 프로세스 범주와 40개의 세부 프로세스로 구성된다.
- 프로세스 수행 능력 단계
- 1) 불완전 단계(Incomplete)
- 프로세스가 구현되지 않았거나 목적을 달성하지 못한 단계
- 2) 수행 단계(Perfomed)
- 프로세스가 수행되고 목적이 달성된 단계
- 3) 관리 단계(Managed)
- 정의된 자원의 한도 내에서 그 프로세스가 작업 산출물을 인도하는 단계
- 4) 확립 단계(Established)
- 소프트웨어 공학 원칙에 기반하여 정의된 프로세스가 수행되는 단계
- 5) 예측 단계(Predictable)
- 프로세스가 목적 달성을 위해 통제되고, 양적인 측정을 통해서 일관되게 수행되는 단계
- 6) 최적화 단계(Optimizing)
- 프로세스 수행을 최적화하고, 지속적인 개선을 통해 업무 목적을 만족시키는 단계
- 1) 불완전 단계(Incomplete)